प्रश्नावली 3.2
Q1. निम्न समस्याओं में रैखिक समीकरणों के युग्म बनाइए और उनके ग्राफीय विधि से हल ज्ञात कीजिए |
(i) कक्षा x के 10 विधार्थियों ने एक गणित की पहेली प्रतियोगिता में भाग लिया | यदि लड़कियों की संख्या लड़कों से 4 अधिक हो, तो प्रतियोगिता में भाग लिए लडको और लड़कियों की संख्या ज्ञात कीजिए |
हल :
माना लड़कियों की संख्या = x
तथा लड़कों की संख्या = y
प्रश्नानुसार,
लड़के और लडकियाँ की कुल संख्या 10 है |
इसलिए, x + y = 10 ........ (1)
लड़कों से लड़कियाँ 4 अधिक हैं |
इसलिए, x - y = 4 ........ (2)
समी० (1) के लिए तालिका
x + y = 10
⇒ x = 10 - y
| x | 5 | 6 | 7 |
| y | 5 | 4 | 3 |
समी० (2) के लिए तालिका
x - y = 4
⇒ x = 4 + y
| x | 5 | 6 | 7 |
| y | 1 | 2 | 3 |

ग्राफीय विधि से हल के लिए हम जब बने ग्राफ को देखते हैं तो पाते हैं कि बिंदु (7, 3) दिए गए समीकरण के लिए प्रतिच्छेदन बिंदु है जो कि रैखिक समीकरण युग्म का उभयनिष्ठ हल है |
इसलिए, लड़कियों कि संख्या = 7 और लड़कों की संख्या = 3 है |
(ii) 5 पेंसिल तथा 7 कलमों का कुल मूल्य 50 रू. है, जबकि 7 पेंसिल तथा 5 कलमों का कुल मूल्य 46 रू. है | एक पेंसिल का मूल्य तथा एक कलम का मूल्य ज्ञात कीजिए |
हल :
माना एक पेन्सिल का मूल्य = x रू०
और एक कलम का मूल्य = y रू०
प्रश्नानुसार,
5x + 7y = 50 ……… (1) और
7x + 5y = 46 ……..(2)
समी० (1) से
5x + 7y = 50
⇒ 5x = 50 - 7y


ग्राफीय विधि से हल के लिए हम जब बने ग्राफ को देखते हैं तो पाते हैं कि बिंदु (3, 5) दिए गए समीकरण के लिए प्रतिच्छेदन बिंदु है जो कि रैखिक समीकरण युग्म का उभयनिष्ठ हल है |
इसलिए, पेन्सिल का मूल्य = 3 और कलम का मूल्य = 5 है |

(i) 5x - 4y +8 = 0
7x + 6y - 9 = 0
(ii) 9x +3y + 12 = 0
18x + 6y + 24 = 0
(iii) 6x - 3y + 10 = 0
2x - y + 9 = 0
हल :
(ii) 9x + 3y + 12 = 0
18x + 6y + 24 = 0

हल :
(iii) 6x - 3y + 10 = 0
2x - y + 9 = 0
a1 = 6, b1 = -3, c1 = 10
a2 = 2, b2 = -1, c2 = 9


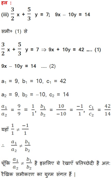
हल :
(i) 3x + 2y = 5; 2x - 3y = 7
a1 = 3, b1 = 2, c1 = 5
a2 = 2, b2 = -3, c2 = 7

हल :
(ii) 2x - 3y = 8; 4x - 6y = 9
a1 = 2, b1 = -3, c1 = 8
a2 = 4, b2 = -6, c2 = 9


Q4. निम्न रैखिक समीकरणों के युग्मों में से कौन से युग्म संगत /असंगत है, यदि संगत है तो ग्राफीय विधि से हल ज्ञात कीजिए |
(i) x+y = 5, 2x +2y = 10
(ii) x - y = 8, 3x - 3y = 16
(iii) 2x + y -6 = 0, 4x- 2y - 4 = 0
(iv) 2x - 2y- 2 = 0, 4x - 4y - 5 = 0
हल :








Q5. एक आयताकार बाग़ जिसकी लंम्बाई, चौड़ाई से 4m अधिक है, का अर्धपरिमाप 36m है | बाग़ की विमाएँ ज्ञात कीजिए |
हल : माना आयताकार बाग की लंबाई = x m
और चौड़ाई = y m है |
अर्धपरिमाप = 36 m


अत: बाग की लंबाई = 20 मीटर
और चौड़ाई = 16 मीटर
Q6. एक रैखिक समीकरण 2x + 3y - 8 = 0 दी गई है | दी चरों में एक ऐसी और रैखिक समीकरण लिखिए ताकि प्राप्त युग्म का ज्यामितीय निरूपण जैसा कि
(i) प्रतिछेद करती रेखाएँ हों | (ii) समांतर रेखाएँ हों|
(iii) संपाती रेखाएँ हों |
हल : 2x + 3y - 8 = 0 ............ (i) (दिया है)
हमें एक और ऐसी ही रैखिक समीकरण खींचना है जिससे प्राप्त युग्म का ज्यामितीय निरूपण
(i) प्रतिच्छेद करती रेखाए हो
रेखाए प्रतिच्छेद करती हो इसके लिए



Q7. समीकरणों x - y + 1 = 0 और 3x + 2y - 12 = 0 का ग्राफ खींचिए | x- अक्ष और इन रेखाओं से बने त्रिभुज के शीर्षों के निर्देशक ज्ञात कीजिए और त्रिभुजाकार पटल को छायांकित कीजिए |
हल :
x – y + 1 = 0 …………. (i)
3x + 2y – 12 = 0 ………….(ii)
समीकरण (i) से
x – y + 1 = 0
या y = x + 1
अब x का मान 0, 1 और 2 रखने पर y का मान क्रमश: 1, 2 और 3 प्राप्त होता है जिसकी तालिका निम्न है –

अब इसमें x का मान 0, 2 और 4 रखने पर y का मान क्रमश: 6, 3 और 0 प्राप्त होता है जिसकी तालिका निम्न है |




