Chapter 5. समान्तर श्रेढ़ी Class 10 Mathematics CBSE notes in hindi मुख्य-बिंदु और सूत्र : - CBSE Study
कक्षा 10 Mathematics के लिए NCERT समाधान नवीनतम CBSE पाठ्यक्रम और NCERT पाठ्यपुस्तकों के अनुसार सावधानीपूर्वक तैयार किए गए हैं, ताकि विद्यार्थी प्रत्येक अवधारणा को स्पष्ट रूप से समझ सकें। इन समाधानों में सभी महत्वपूर्ण 5. समान्तर श्रेढ़ी को विस्तृत व्याख्या और चरण-दर-चरण उत्तरों सहित शामिल किया गया है, जिससे परीक्षा की बेहतर तैयारी हो सके। प्रत्येक मुख्य-बिंदु और सूत्र : को सरल भाषा में समझाया गया है, ताकि विद्यार्थी मूलभूत सिद्धांतों को आसानी से समझकर अपनी शैक्षणिक उपलब्धि में सुधार कर सकें। यह अध्ययन सामग्री दैनिक गृहकार्य, पुनरावृत्ति अभ्यास तथा वार्षिक परीक्षा की तैयारी के लिए विशेष रूप से उपयोगी है। सटीक उत्तर, स्पष्ट अवधारणाएँ और व्यवस्थित सामग्री विद्यार्थियों को आत्मविश्वास बढ़ाने तथा परीक्षाओं में अधिक अंक प्राप्त करने में सहायता करती है। चाहे आप किसी विशेष विषय का पुनरावृत्ति कर रहे हों या पूरे अध्याय की तैयारी कर रहे हों, यह संसाधन Mathematics में पूर्ण सफलता के लिए विश्वसनीय और पाठ्यक्रम-आधारित मार्गदर्शन प्रदान करता है।
CBSE NOTES:
Class 10 English Medium Mathematics All Chapters:
5. समान्तर श्रेढ़ी
1. मुख्य-बिंदु और सूत्र :
मुख्य-बिंदु और सूत्र :

समांतर श्रेढ़ी के सूत्र (formula for Arithematic progressions):
(i) समांतर श्रेढ़ी के पदों का समान्य सूत्र (formula):
a, a + d, a + 2d, a + 3d, a + 4d ................................
(ii) सार्वअंतर (d) = दूसरा पद - पहला पद
= a2 - a1
(iii) समांतर माध्य का सूत्र (formula):
(iv) n वाँ पद का सूत्र (Fformula for nth term):
an = a + (n - 1)d
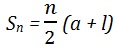
(v) योगफल का सूत्र (Formula for Sum) :
जब अंतिम पद (l) और प्रथम पद (a) दिया हो तो :

(vi) योगफल (Sn) से अंतिम पद (an) ज्ञात करने का सूत्र :