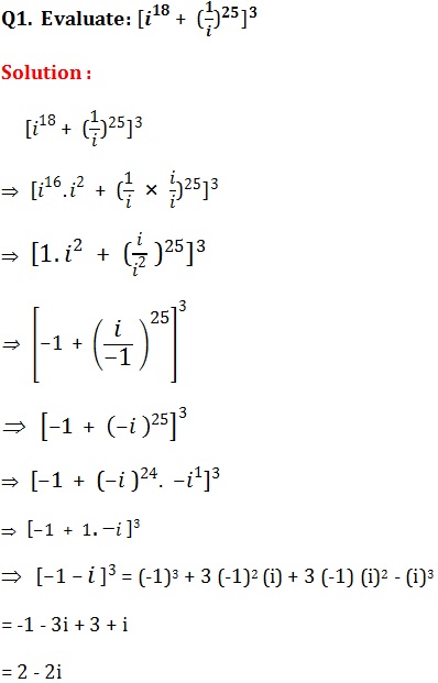
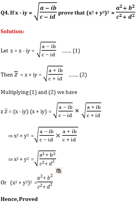
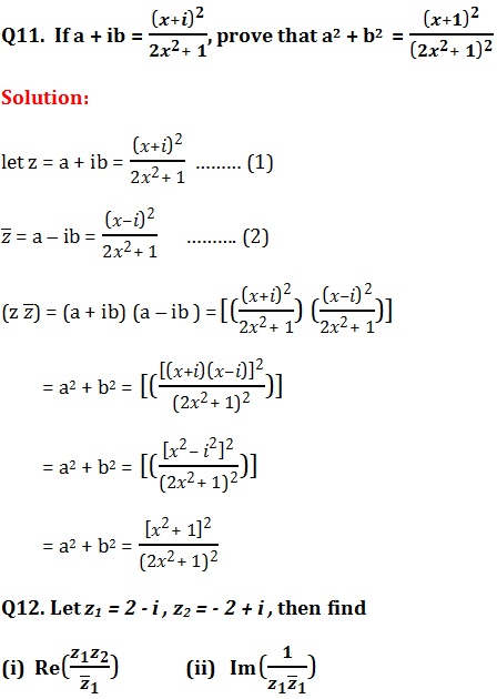
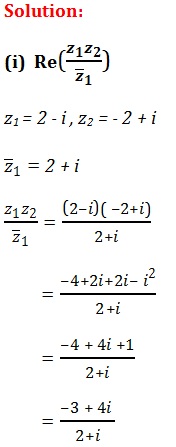
Miscellaneous Exercise on Chapter 5

Q2. For any two complex numbers z1 and z2, prove that
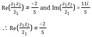
Re (z1z2) = Re z1 Re z2 – Im z1 Im z2
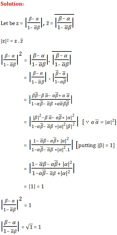
Solution:
Let z1 = a + ib, z2 = c + id
Re z1 = a, Re z2 = c, Im z1 = b, Im z2 = d ….. (1)
z1z2 = (a + ib) (c + id)
= ac + iad + ibc + bd i2
= ac + iad + ibc + bd (-1)
= ac + iad + ibc - bd
= ac - bd + i(ad + bc)
Comparing real and imaginary part we obtain,
Re(z1z2) = ac - bd, Im(z1z2) = ad + bc
Now we take real part
⇒ Re(z1z2) = ac - bd
⇒ Re(z1z2) = Re z1 Re z2 – Im z1 Im z2 [using (1) ]
Hence, proved

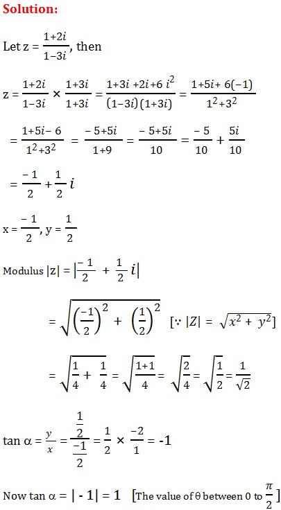
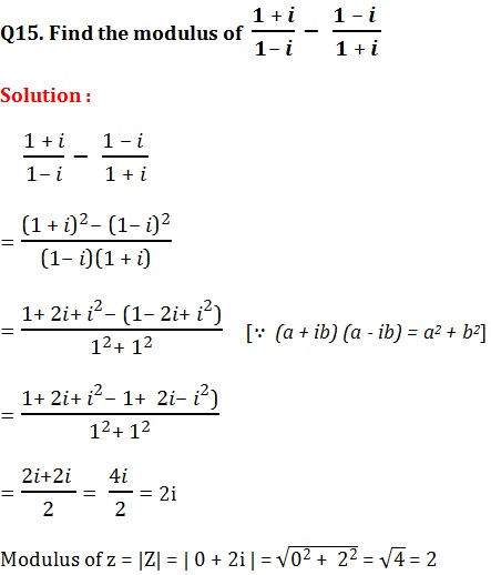
Multiplying numerator and denominator by 28 + 10i




On multiplying numerator and denominator by (2 – i), we get

On comparing real and imaginary part we obtain





Q14. Find the real numbers x and y if (x – iy) (3 + 5i) is the conjugate of –6 – 24i.
Solution:
Let z = (x – iy) (3 + 5i)
= 3x + 5xi - 3yi - 5yi2
= 3x + 5xi - 3yi + 5y
= 3x + 5y + 5xi - 3yi
= (3x + 5y) + (5x - 3y)i

Comparing both sides and equating real and imaginary parts, we get
3x + 5y = – 6 …… (1)
5x - 3y = 24 …… (2)
Multiplying equation (i) by 3 and equation (ii) by 5 and then adding them,



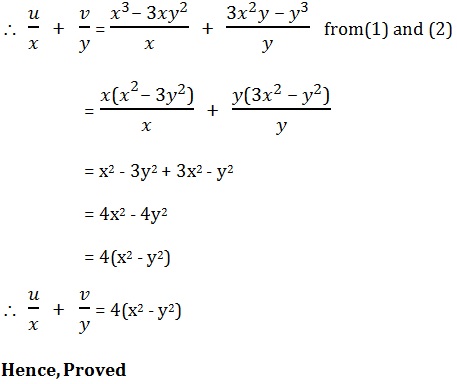
(x + iy)3 = u + iv
⇒ x3 + 3 . x2 . iy + 3 . x . (iy)2 + (iy)3 = u + iv
⇒ x3 + 3x2 y i + 3 x y2 i2 + y3i3 = u + iv
⇒ x3 + 3x2 y i - 3 x y2 - i y3 = u + iv
⇒ x3 - 3 x y2 + 3x2 y i - iy3 = u + iv
⇒( x3 - 3 x y2) + i(3x2 y - y3) = u + iv
On equating both sides real and imaginary parts, we get;
u = x3 - 3 x y2, …… (1)
v = 3x2 y - y3, ……(2)



Q18. Find the number of non-zero integral solutions of the equation |1 - i|x = 2x

Thus, 0 is the only integral solution of the given equation. Therefore, the number of nonzero integral solutions of the given equation is 0.
Q19. If (a + ib) (c + id) (e + if) (g + ih) = A + iB, then show that
(a2 + b2) (c2 + d2) (e2 + f 2) (g2 + h2) = A2 + B2
Solution :
(a + ib) (c + id) (e + if) (g + ih) = A + iB ……….. (1) given
Replacing i by (-i) we have
(a - ib) (c - id) (e - if) (g - ih) = A - iB ……….. (2)
Multiplying (1) and (2)
(a + ib) (a - ib) (c + id) (c - id) (e + if) (e - if) (g + ih) (g - ih) = (A + iB) (A - iB)
(a2 + b2) (c2 + d2) (e2 + f 2) (g2 + h2) = A2 + B2 [ ∵ (x + iy) (x - iy) = x2 + y2]
Hence, proved

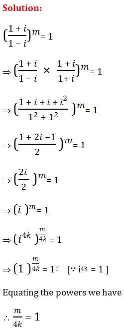
Or m = 4k
Hence, least positive integer is 1.
Therefore, the least positive integral value of m is 4 × 1 = 4



