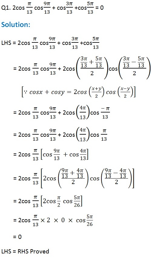
Miscellaneous Exercise on Chapter - 3
Prove that;







Exercise -3 class 11 Maths all chapters ncert books solutions 3. Trigonometric Functions Mathematics Exercise - -3 class 11 Maths in English - CBSE Study. 3. Trigonometric Functions Mathematics Class 11 exercise - -3 class 11 Maths cbse board school study materials like cbse notes in English medium, all chapters and exercises are covered the ncert latest syllabus 2026 - 27.
NCERT Solutions For Class 11 in Hindi and English Medium
In this chapter-3. Trigonometric Functions of NCERT Solution class 11 Mathematics in English we cover all ncert book exercises and examples also quick revision notes or point which will help the student in exams. 3. Trigonometric Functions Mathematics Class 11 exercise - -3 class 11 Maths cbse board school study materials like cbse notes in English medium, all chapters and exercises are covered the ncert latest syllabus 2026 - 27.
Exercise -3 class 11 Maths here we are going to discuss our class subjects and chapters and exercise with solution also questions answer for 3. Trigonometric Functions प्रश्न उत्तर (questions and answers) 3. Trigonometric Functions के प्रश्न उत्तर अध्याय 3. Trigonometric Functions प्रश्न उत्तर
कक्षा 11 विज्ञान पाठ 3. Trigonometric Functions के प्रश्न उत्तर पाठ 3. Trigonometric Functions class 11 question answer chapter 3. Trigonometric Functions class 11
If you revise these questions and answers for class 11 Mathematics Miscellaneous Exercise on Chapter - 3 in English also class 11 3. Trigonometric Functions
Miscellaneous Exercise on Chapter - 3
Prove that;







3. Trigonometric Functions अध्याय के अन्य दुसरे विषय भी देखे :
CBSE Study provides all types of materials online and offline as required by user for cbse and ncert solutions class 11 Mathematics chapter 3. Trigonometric Functions question answer also ncert solutions for class 11 Mathematics in hindi medium.
All chapters are categorised in four section as class 11 Mathematics chapter 3. Trigonometric Functions exercise question answer. if you need free ncert solution for class 11 Mathematics chapter 3. Trigonometric Functions you must visit our downlaod section for free ncert solutions.
We regularily updates our solutions as ncert solutions for class 11 Mathematics also class 11 ncert solutions Mathematics. However some of the materials are under construction you can see in some of the pages so you need not worry we work regularily for ncert solutions for class 11 Mathematics chapter 3. Trigonometric Functions.
First you target class 11 then Mathematics after that chapter 3. Trigonometric Functions then find the questions and answers for your query class 11 English solutions class 11 English question answer also find class 11 Mathematics chapter 3. Trigonometric Functions questions and answers. This must satisfy you if you follow all the instructions as 11 class Mathematics solution ncert is a key point.
Updates and Activities are not available now



advertise
Advertise